Doctor-R1: Mastering Clinical Inquiry with Experiential Agentic Reinforcement Learning
Doctor-R1 is an AI doctor agent trained to conduct strategic, multi-turn patient inquiries to guide its diagnostic decision-making. Unlike traditional models that excel at static medical QA, Doctor-R1 is designed to master the complete, dynamic consultation process, unifying the two core skills of a human physician: communication and decision-making.
This model is an 8B parameter agent built upon Qwen3-8B and fine-tuned using a novel Experiential Agentic Reinforcement Learning framework.
β¨ Key Features
- Unified Clinical Skills: The first agent framework to holistically integrate two core clinical skills, strategic patient inquiry and accurate medical decision-making within a single model.
- Experiential Reinforcement Learning: A novel closed-loop framework where the agent learns and improves from an accumulating repository of its own high-quality experiences.
- Dual-Competency Reward System: A sophisticated two-tiered reward architecture that separately optimizes for both conversational quality (soft skills) and diagnostic accuracy (hard skills), featuring a "safety-first" veto system.
- State-of-the-Art Performance: Outperforms leading open-source models on challenging dynamic benchmarks like HealthBench and MAQuE with high parameter efficiency (8B).
π Leaderboards
Doctor-R1 demonstrates state-of-the-art performance among open-source models and surpasses several powerful proprietary models on HealthBench. It demonstrates superior performance on dynamic benchmarks and strong foundational knowledge on static QA tasks.
| Benchmark | Key Metric | Doctor-R1 | Best Open-Source (>=32B) |
|---|---|---|---|
| HealthBench | Avg. Score | 36.29 | 33.16 |
| MAQuE | Accuracy | 60.00 | 57.00 |
| MedQA | Accuracy | 83.50 | 81.50 |
| MMLU (Medical) | Accuracy | 85.00 | 84.00 |
The detailed breakdown of HealthBench Main (Dynamic Consultation) is as below:
| Model | Avg. Score | Accuracy | Comm. Quality | Context Aware. |
|---|---|---|---|---|
| GPT-o3 (Proprietary) | 38.91 | 40.31 | 64.78 | 48.09 |
| Doctor-R1 (8B) | 36.29 | 37.84 | 64.15 | 49.24 |
| Baichuan-M2-32B | 33.16 | 33.95 | 58.01 | 46.80 |
| Grok-4 (Proprietary) | 33.03 | 37.95 | 61.35 | 45.62 |
| GPT-4.1 (Proprietary) | 31.18 | 34.78 | 60.65 | 44.81 |
| UltraMedical-8B | 22.19 | 25.50 | 57.40 | 40.26 |
| Base Model (Qwen3-8B) | 25.13 | 28.57 | 49.35 | 43.00 |
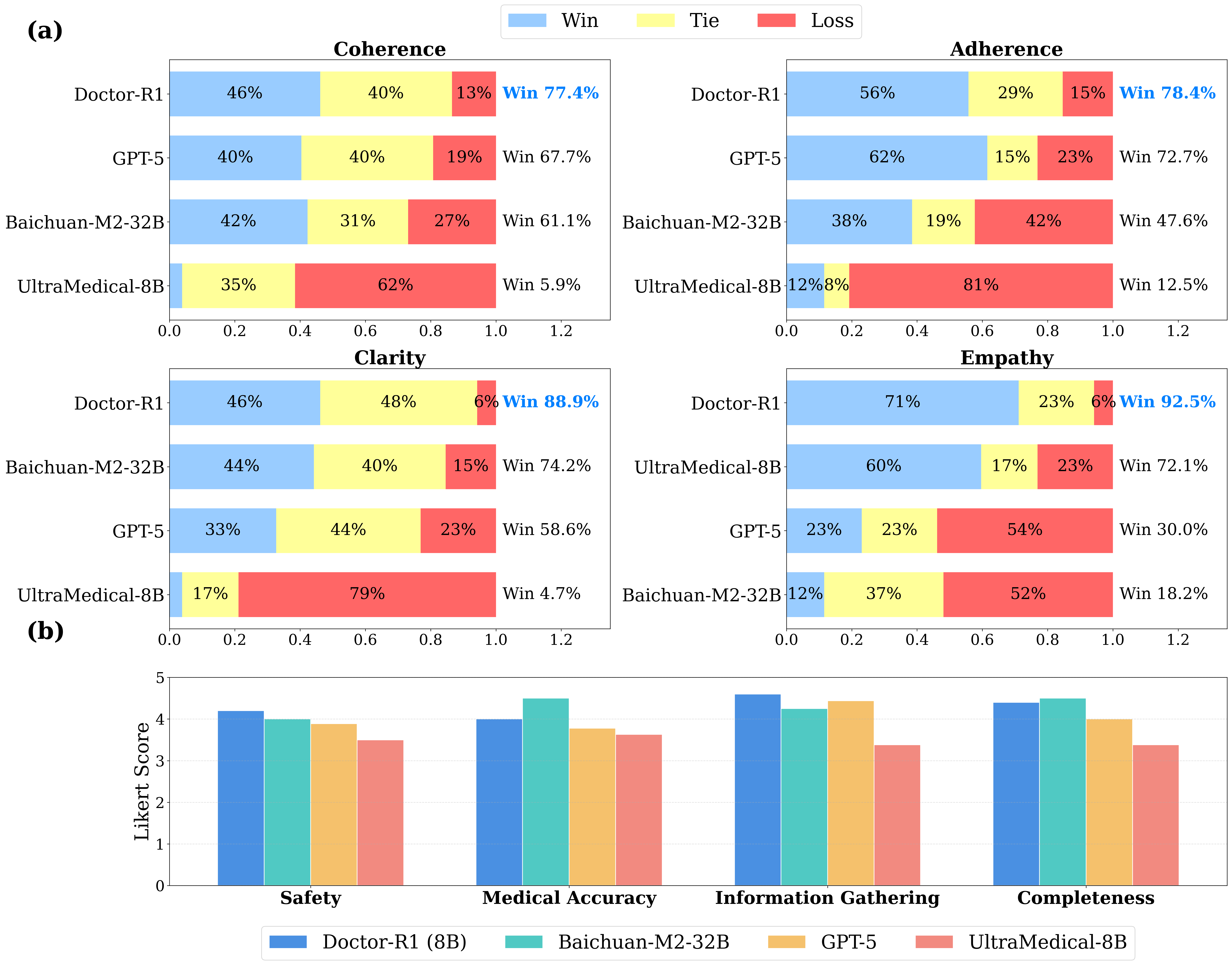
π₯ Human Evaluation
To validate that our quantitative results align with user experience, we conducted a pairwise human preference evaluation against other leading models. The results show a decisive preference for Doctor-R1, especially in patient-centric metrics.
π¬ Ablation Studies
Our ablation studies validate the critical contributions of our framework's key components.
Impact of Experience Retrieval Mechanism. The results show that our full retrieval mechanism with reward and novelty filtering provides a significant performance boost over both a no-experience baseline and a standard similarity-based retrieval, especially in communication skills.
Impact of Patient Agent Scaling. We observe a strong, positive correlation between the number of simulated patient interactions during training and the agent's final performance. This validates that our agentic framework effectively learns and improves from a large volume of diverse experiences.
π Citation
If you find our work useful in your research, please consider citing our paper:
@misc{lai2025doctorr1masteringclinicalinquiry,
title={Doctor-R1: Mastering Clinical Inquiry with Experiential Agentic Reinforcement Learning},
author={Yunghwei Lai and Kaiming Liu and Ziyue Wang and Weizhi Ma and Yang Liu},
year={2025},
eprint={2510.04284},
archivePrefix={arXiv},
primaryClass={cs.AI},
url={https://arxiv.org/abs/2510.04284},
}
π¬ Contact & Questions
For collaborations or inquiries, please contact [email protected]. Youβre also welcome to open an issue or join the discussion in this repository, we value your insights and contributions to Doctor-R1.
Stay tuned and join our community as we push the boundaries of intelligent healthcare. Together, letβs make medical AI safer, smarter, and more human. π€
- Downloads last month
- 6

