Finetune Llama 3.1, Gemma 2, Mistral 2-5x faster with 70% less memory via Unsloth!
We have a free Google Colab Tesla T4 notebook for Llama 3.1 (8B) here: https://colab.research.google.com/drive/1Ys44kVvmeZtnICzWz0xgpRnrIOjZAuxp?usp=sharing
β¨ Finetune for Free
All notebooks are beginner friendly! Add your dataset, click "Run All", and you'll get a 2x faster finetuned model which can be exported to GGUF, vLLM or uploaded to Hugging Face.
| Unsloth supports | Free Notebooks | Performance | Memory use |
|---|---|---|---|
| Llama-3.1 8b | βΆοΈ Start on Colab | 2.4x faster | 58% less |
| Phi-3.5 (mini) | βΆοΈ Start on Colab | 2x faster | 50% less |
| Gemma-2 9b | βΆοΈ Start on Colab | 2.4x faster | 58% less |
Llama 3.1 Storm
Authors: Ashvini Kumar Jindal, Pawan Kumar Rajpoot, Ankur Parikh, Akshita Sukhlecha
π€ Hugging Face Announcement Blog: https://huggingface.co/blog/akjindal53244/llama31-storm8b
πOllama: ollama run ajindal/llama3.1-storm:8b
TL;DR
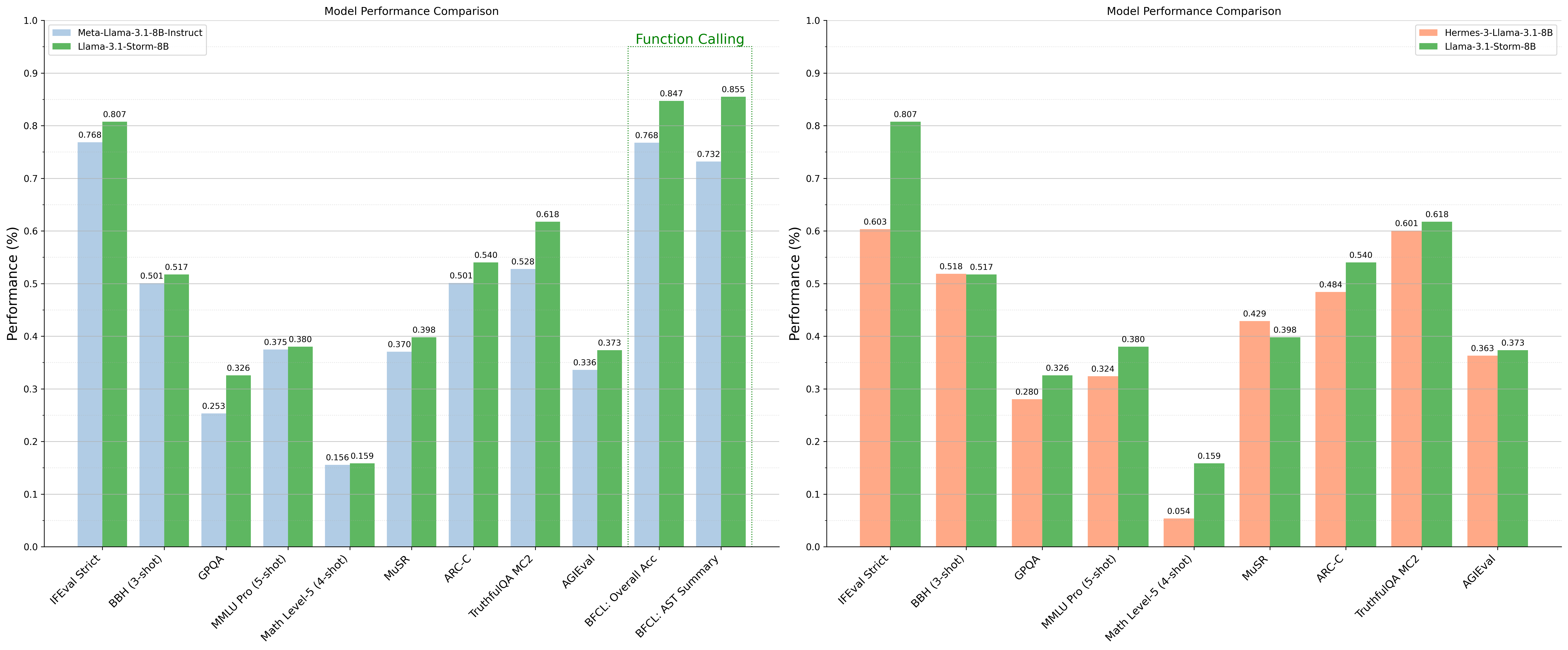
We present the Llama-3.1-Storm-8B model that outperforms Meta AI's Llama-3.1-8B-Instruct and Hermes-3-Llama-3.1-8B models significantly across diverse benchmarks as shown in the performance comparison plot in the next section. Our approach consists of three key steps:
- Self-Curation: We applied two self-curation methods to select approximately 1 million high-quality examples from a pool of ~2.8 million open-source examples. Our curation criteria focused on educational value and difficulty level, using the same SLM for annotation instead of larger models (e.g. 70B, 405B).
- Targeted fine-tuning: We performed Spectrum-based targeted fine-tuning over the Llama-3.1-8B-Instruct model. The Spectrum method accelerates training by selectively targeting layer modules based on their signal-to-noise ratio (SNR), and freezing the remaining modules. In our work, 50% of layers are frozen.
- Model Merging: We merged our fine-tuned model with the Llama-Spark model using SLERP method. The merging method produces a blended model with characteristics smoothly interpolated from both parent models, ensuring the resultant model captures the essence of both its parents. Llama-3.1-Storm-8B improves Llama-3.1-8B-Instruct across 10 diverse benchmarks. These benchmarks cover areas such as instruction-following, knowledge-driven QA, reasoning, truthful answer generation, and function calling.
π Introducing Llama-3.1-Storm-8B
Llama-3.1-Storm-8B builds upon the foundation of Llama-3.1-8B-Instruct, aiming to enhance both conversational and function calling capabilities within the 8B parameter model class.
As shown in the left subplot of the above figure, Llama-3.1-Storm-8B model improves Meta-Llama-3.1-8B-Instruct across various benchmarks - Instruction-following (IFEval), Knowledge-driven QA benchmarks (GPQA, MMLU-Pro), Reasoning (ARC-C, MuSR, BBH), Reduced Hallucinations (TruthfulQA), and Function-Calling (BFCL). This improvement is particularly significant for AI developers and enthusiasts who work with limited computational resources.
We also benchmarked our model with the recently published model Hermes-3-Llama-3.1-8B built on top of the Llama-3.1-8B-Instruct model. As shown in the right subplot of the above figure, Llama-3.1-Storm-8B outperforms Hermes-3-Llama-3.1-8B on 7 out of 9 benchmarks, with Hermes-3-Llama-3.1-8B surpassing Llama-3.1-Storm-8B on the MuSR benchmark and both models showing comparable performance on the BBH benchmark.
Llama-3.1-Storm-8B Model Strengths
Llama-3.1-Storm-8B is a powerful generalist model useful for diverse applications. We invite the AI community to explore Llama-3.1-Storm-8B and look forward to seeing how it will be utilized in various projects and applications.
| Model Strength | Relevant Benchmarks |
| π― Improved Instruction Following | IFEval Strict (+3.93%) |
| π Enhanced Knowledge Driven Question Answering | GPQA (+7.21%), MMLU-Pro (+0.55%), AGIEval (+3.77%) |
| π§ Better Reasoning | ARC-C (+3.92%), MuSR (+2.77%), BBH (+1.67%), AGIEval (+3.77%) |
| π€ Superior Agentic Capabilities | BFCL: Overall Acc (+7.92%), BFCL: AST Summary (+12.32%) |
| π« Reduced Hallucinations | TruthfulQA (+9%) |
Note: All improvements are absolute gains over Meta-Llama-3.1-8B-Instruct.
Llama-3.1-Storm-8B Models
BF16: Llama-3.1-Storm-8B- β‘
FP8: Llama-3.1-Storm-8B-FP8-Dynamic - β‘
GGUF: Llama-3.1-Storm-8B-GGUF - π Ollama:
ollama run ajindal/llama3.1-storm:8b
π» How to Use the Model
The Hugging Face transformers library loads the model in bfloat16 by default. This is the type used by the Llama-3.1-Storm-8B checkpoint, so itβs the recommended way to run to ensure the best results.
Installation
pip install --upgrade "transformers>=4.43.2" torch==2.3.1 accelerate vllm==0.5.3.post1
Developers can easily integrate Llama-3.1-Storm-8B into their projects using popular libraries like Transformers and vLLM. The following sections illustrate the usage with simple hands-on examples:
Conversational Use-case
Use with π€ Transformers
Using transformers.pipeline() API
import transformers
import torch
model_id = "akjindal53244/Llama-3.1-Storm-8B"
pipeline = transformers.pipeline(
"text-generation",
model=model_id,
model_kwargs={"torch_dtype": torch.bfloat16},
device_map="auto",
)
messages = [
{"role": "system", "content": "You are a helpful assistant."},
{"role": "user", "content": "What is 2+2?"}
]
outputs = pipeline(messages, max_new_tokens=128, do_sample=True, temperature=0.01, top_k=100, top_p=0.95)
print(outputs[0]["generated_text"][-1]) # Expected Output: {'role': 'assistant', 'content': '2 + 2 = 4'}
Using model.generate() API
pip install flash_attn==2.6.3
import torch
from transformers import AutoTokenizer, LlamaForCausalLM
# Apply Llama3.1 chat-template
def format_prompt(user_query):
template = """<|begin_of_text|><|start_header_id|>system<|end_header_id|>\n\nYou are a helpful assistant.<|eot_id|><|start_header_id|>user<|end_header_id|>\n\n{}<|eot_id|><|start_header_id|>assistant<|end_header_id|>\n\n"""
return template.format(user_query)
model_id = 'akjindal53244/Llama-3.1-Storm-8B'
tokenizer = AutoTokenizer.from_pretrained(model_id, trust_remote_code=True)
model = LlamaForCausalLM.from_pretrained(
model_id,
torch_dtype=torch.bfloat16,
device_map="auto",
load_in_8bit=False,
load_in_4bit=False,
use_flash_attention_2=True
)
# Build final input prompt after applying chat-template
prompt = format_prompt("What is 2+2?")
input_ids = tokenizer(prompt, return_tensors="pt").input_ids.to("cuda")
generated_ids = model.generate(input_ids, max_new_tokens=128, temperature=0.01, do_sample=True, eos_token_id=tokenizer.eos_token_id)
response = tokenizer.decode(generated_ids[0][input_ids.shape[-1]:], skip_special_tokens=True)
print(response) # Expected Output: '2 + 2 = 4'
Use with vLLM
from vllm import LLM, SamplingParams
from transformers import AutoTokenizer
model_id = "akjindal53244/Llama-3.1-Storm-8B" # FP8 model: "akjindal53244/Llama-3.1-Storm-8B-FP8-Dynamic"
num_gpus = 1
tokenizer = AutoTokenizer.from_pretrained(model_id)
llm = LLM(model=model_id, tensor_parallel_size=num_gpus)
sampling_params = SamplingParams(max_tokens=128, temperature=0.01, top_k=100, top_p=0.95)
messages = [
{"role": "system", "content": "You are a helpful assistant."},
{"role": "user", "content": "What is 2+2?"}
]
prompt = tokenizer.apply_chat_template(messages, add_generation_prompt=True, tokenize = False)
print(llm.generate([prompt], sampling_params)[0].outputs[0].text.strip()) # Expected Output: 2 + 2 = 4
Use with LitGPT
pip install 'litgpt[all]'
litgpt download akjindal53244/Llama-3.1-Storm-8B --model_name meta-llama/Meta-Llama-3.1-8B
from litgpt import LLM
llm = LLM.load(model="akjindal53244/Llama-3.1-Storm-8B")
llm.generate("What do Llamas eat?")
Function Calling Use-case
Llama-3.1-Storm-8B has impressive function calling capabilities compared to Meta-Llama-3.1-8B-Instruct as demonstrated by the BFCL benchmark.
Prompt Format for Function Calling
Llama-3.1-Storm-8B is trained with specific system prompt for Function Calling:
You are a function calling AI model. You may call one or more functions to assist with the user query. Don't make assumptions about what values to plug into function. The user may use the terms function calling or tool use interchangeably.
Here are the available functions:
<tools>LIST_OF_TOOLS</tools>
For each function call return a json object with function name and arguments within <tool_call></tool_call> XML tags in the format:
<tool_call>{"tool_name": <function-name>, "tool_arguments": <args-dict>}</tool_call>
Above system prompt should be used with passing LIST_OF_TOOLS as input.
Use with vLLM
import json
from vllm import LLM, SamplingParams
from transformers import AutoTokenizer
model_id = "akjindal53244/Llama-3.1-Storm-8B" # FP8 model: "akjindal53244/Llama-3.1-Storm-8B-FP8-Dynamic"
num_gpus = 1
tokenizer = AutoTokenizer.from_pretrained(model_id)
llm = LLM(model=model_id, tensor_parallel_size=num_gpus)
sampling_params = SamplingParams(max_tokens=128, temperature=0.01, top_k=100, top_p=0.95)
def create_system_prompt(tools_list):
system_prompt_format = """You are a function calling AI model. You may call one or more functions to assist with the user query. Don't make assumptions about what values to plug into function. The user may use the terms function calling or tool use interchangeably.
Here are the available functions:
<tools>{}</tools>
For each function call return a json object with function name and arguments within <tool_call></tool_call> XML tags in the format:
<tool_call>{"tool_name": <function-name>, "tool_arguments": <args-dict>}</tool_call>"""
# Convert the tools list to a string representation
tools_str = json.dumps(tools_list, ensure_ascii=False)
# Format the system prompt with the tools list
system_prompt = system_prompt_format.format(tools_str)
return system_prompt
# Example tools list
tools_list = [
{
"name": "peers",
"description": "Retrieves a list of company peers given a stock symbol.",
"parameters": {
"symbol": {
"description": "The stock symbol for the company.",
"type": "str",
"default": ""
}
}
},
{
"name": "web_chain_details",
"description": "python",
"parameters": {
"chain_slug": {
"description": "The slug identifier for the blockchain (e.g., 'ethereum' for Ethereum mainnet).",
"type": "str",
"default": "ethereum"
}
}
}
]
# Create the system prompt with the tools list
system_prompt = create_system_prompt(tools_list)
messages = [
{"role": "system", "content": system_prompt},
{"role": "user", "content": "I need to understand the details of the Ethereum blockchain for my cryptocurrency project. Can you fetch the details for 'ethereum'?"}
]
prompt = tokenizer.apply_chat_template(messages, add_generation_prompt=True, tokenize = False)
print(llm.generate([prompt], sampling_params)[0].outputs[0].text.strip()) # Expected Output: <tool_call>{'tool_name': 'web_chain_details', 'tool_arguments': {'chain_slug': 'ethereum'}}</tool_call>
Use with Ollama
import ollama
tools = [{
'type': 'function',
'function': {
'name': 'get_current_weather',
'description': 'Get the current weather for a city',
'parameters': {
'type': 'object',
'properties': {
'city': {
'type': 'string',
'description': 'The name of the city',
},
},
'required': ['city'],
},
},
},
{
'type': 'function',
'function': {
'name': 'get_places_to_vist',
'description': 'Get places to visit in a city',
'parameters': {
'type': 'object',
'properties': {
'city': {
'type': 'string',
'description': 'The name of the city',
},
},
'required': ['city'],
},
},
},
]
response = ollama.chat(
model='ajindal/llama3.1-storm:8b',
messages=[
{'role': 'system', 'content': 'Do not answer to nay vulgar questions.'},
{'role': 'user', 'content': 'What is the weather in Toronto and San Francisco?'}
],
tools=tools
)
print(response['message']) # Expected Response: {'role': 'assistant', 'content': "<tool_call>{'tool_name': 'get_current_weather', 'tool_arguments': {'city': 'Toronto'}}</tool_call>"}
Alignment Note
While Llama-3.1-Storm-8B did not undergo an explicit model alignment process, it may still retain some alignment properties inherited from the Meta-Llama-3.1-8B-Instruct model.
Cite Our Work
@misc {ashvini_kumar_jindal_2024,
author = { {Ashvini Kumar Jindal, Pawan Kumar Rajpoot, Ankur Parikh, Akshita Sukhlecha} },
title = { Llama-3.1-Storm-8B },
year = 2024,
url = { https://huggingface.co/akjindal53244/Llama-3.1-Storm-8B },
doi = { 10.57967/hf/2902 },
publisher = { Hugging Face }
}
Support Our Work
With 3 team-members spanned across 3 different time-zones, we have won NeurIPS LLM Efficiency Challenge 2023 and 4 other competitions in Finance and Arabic LLM space. We have also published SOTA mathematical reasoning model.
Llama-3.1-Storm-8B is our most valuable contribution so far towards the open-source community. We are committed in developing efficient generalist LLMs. We're seeking both computational resources and innovative collaborators to drive this initiative forward.
- Downloads last month
- 44
Model tree for unsloth/Llama-3.1-Storm-8B
Base model
meta-llama/Llama-3.1-8B
